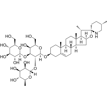
【中名稱】:澳洲茄邊堿
【別 名】:澳洲邊茄堿
【英文名】:Solamargine
【分子式】:C45H73NO15
【分子量】: 868.06
【 C A S 】:20318-30-3
【規 格】:98%,99% by HPLC
【包 裝】:10mg,20mg,50mg,100mg,1g,100g......或根據客戶要求提供相應包裝
【干燥失重】:≤0.02%
【貯 存】:密封避光保存,2-8℃。
【用 途】:本品僅用于實驗室科研含量測定。
【檢測條件】:(僅供參考)
【注意事項】:本品應在低溫干燥保存,特殊產品要在氮氣下保存,長時間保存不當含量會有所降低。
【有效期】:2年
購物車
幫助
021-54845833/15800441009
