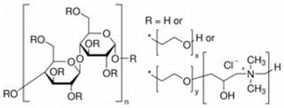
中文名稱 : 聚季銨鹽-10
其他中文名稱 : 氯化-2-羥基-3-(三甲氨基)丙基聚環(huán)氧乙烷纖維素醚
英文名稱 : Polyquaternium-10
其他英文名稱 : Cellulose 2-(2-hydroxy-3-(trimethylammonio)propoxy) ethyl ether chloride;Cellulose ether with a-[2-hydroxy-3-(trimethylammonio)propyl]-w-hydroxypoly(oxy-1,2-ethanediyl) chloride
C A S : 68610-92-4或54351-50-7
分子式 : (C2H4O)n.C6H16NO2.xCl.xUnspecified
級(jí) 別 : BR
Particle Size (-20 Mesh) : ≥95%
Viscosity : 300~500 cps(C=2% Water)
Residue on Ignition (Ash) : ≤3.0%
性 狀 : 白色或褐色粉末
用 途 : 生化研究。
保 存 : RT
購(gòu)物車
幫助
021-54845833/15800441009
