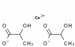
中文名稱 : L-乳酸鈣
其他中文名稱 : 乳酸鈣;α-羥基-丙酸鈣五水化合物
英文名稱 : Calcium Lactate
其他英文名稱 : Lactic acid calcium salt;Calcium dilactate
C A S : 814-80-2或5743-47-5
C6H10O6Ca?5H2O=308.30
級 別 : CP
乳酸鈣含量 : ≥98.0%
水溶解實驗 : 合格
乳酸鈣(五水合物)加減熱量的質量分數 : 22.0~27.0%
游離酸和游離堿試驗 : 合格
揮發性脂肪酸試驗 : 合格
重金屬(以Pb計) : ≤0.001%
熔 點 : 240℃
性 狀 : 白色微風化性的顆粒或粉末,幾乎無氣味,120℃時成為無水物。pH 6~7,冷水中緩慢溶解,熱水中溶解較快,幾乎不溶于乙醇
用 途 : 生化研究。食品和酒精飲料保存
保 存 : RT
購物車
幫助
021-54845833/15800441009
