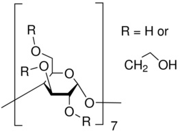
中文名稱 : 羥乙基-β-環糊精
英文名稱 : (2-Hydroxyethyl)-β-Cyclodextrin
C A S : 128446-32-2
級 別 : High purity grade
含 量 : ≥99.0%
水 分 : ≤2.0%
重金屬 : ≤0.0025%
性 狀 : 白色粉末;無毒、無嗅、微甜
用 途 : 生化研究。
保 存 : RT
購物車
幫助
021-54845833/15800441009
