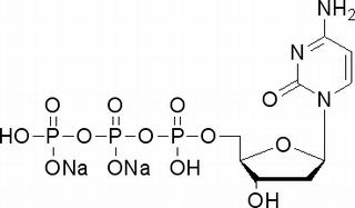
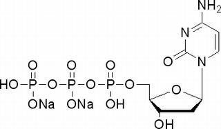
中文名稱 : 三磷酸脫氧胞苷鈉鹽
其他中文名稱 : 2′-脫氧胞苷-5′-三磷酸二鈉鹽
英文名稱 : dCTP,2Na
其他英文名稱 : 2′-Deoxycytidine-5′-triphosphate disodium salt
C A S : 102783-51-7
C9H14N3Na2O13P3=511.12
級 別 : Ultra Pure Grade
含 量 : ≥98.0%
水 分 : ≤10.0%
級 別 : Biotech grade
濃 度 : 100mM
P H : 7.0
性 狀 : 液體
性 狀 : 白色粉末
用 途 : 生化研究,組成DNA的核苷酸
保 存 : -20℃
購物車
幫助
021-54845833/15800441009
