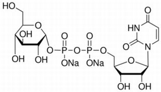
中文名稱 : 尿苷-5ˊ-二磷酸葡糖二鈉鹽
其他中文名稱 : 尿苷二磷酸葡萄糖;葡萄糖-5ˊ-二磷酸尿苷二鈉鹽;二磷酸尿苷葡萄糖二鈉鹽
英文名稱 : UDP-Glc
其他英文名稱 : UDPG;Uridine 5′-diphosphoglucose disodium salt;Uridine-diphosphate-glucose disodium salt;Uridine[5’]diphospho[1]-α-D-glucopyranose disodium salt
C A S : 28053-08-9
C15H22Na2N2O17P2=610.27
級 別 : BioChemika
含 量 : ≥95.0%(HPLC)
Water by karl fischer : ≤8.5% (3mol/mol)ater by karl fischer
Solvent content : ≤5% by gas chromatography
性 狀 : 白色或類白色粉末,對濕敏感。易溶于水:50mg/ml。最大吸收波長(pH2.0)262nm
用 途 : 生化研究。甲基輔酶M的還原刺激劑
保 存 : -20℃
購物車
幫助
021-54845833/15800441009
