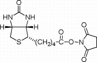
中文名稱 : N-生物素羥基琥珀酰亞胺酯
其他中文名稱 : N-羥基琥珀酰亞胺生物素;(+)生物素-N-琥珀酰亞胺基酯;D-生物素-N-羥基琥珀酰亞胺酯;N-羥基丁二酰亞胺基生物素;N-羥基琥珀酰亞胺基生物素;(+)-生物素-N-羥基琥珀酰亞胺酯
英文名稱 : BNHS
其他英文名稱 : NHS-Biotin;(+)-Biotin N-hydroxysuccinimide ester;d-Biotin NHS ester;Biotinyl-N-hydroxy-succinimide;N-Hydroxysuccinimidobiotin;N-Succinimidyl D-biotinate
C A S : 35013-72-0
C14H19N3O5S=341.38
級 別 : BR
含 量 : ~98.0%
溶解性 : DMF: ≤50 mg/mL Stable for at least one month in dry DMF ;DMSO: soluble
性 狀 : 白色或類白色粉末。
用 途 : 生化研究。
保 存 : -20℃,保質期4年
購物車
幫助
021-54845833/15800441009
