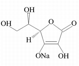
中文名稱 : 異抗壞血酸鈉
其他中文名稱 : 異維生素C鈉;赤藻糖酸鈉;D-2,3,4,5,6-五羥基-2-己烯酸-4-內酯鈉;D-2,3,5,6-四羥基-2-己烯酸-Y-內酯鈉鹽;D-異抗壞血酸鈉鹽;異維生素鈉
英文名稱 : D-Sodium isoascorbiate
其他英文名稱 : D-Erythro-hex-2-enonic acid gamma-lactone monosodium salt;2,3-Didehydro-3-O-sodio-D-erythro-hexono-1,4-lactone;Sodium erythorbate
C A S : 6381-77-7
C6H7NaO6=198.12
級 別 : BR
含 量 : ≥98.0%(GC)
水溶解試驗 : 合格
比旋光度 : +95.5~+98.0o(C=10, H2O)
P H : 5.5~8.0
草酸試驗 : 合格
性 狀 : 白色或稍帶黃色的結晶顆粒或粉末,無臭,稍有咸味,易溶于水(約7mL水能溶1g)。干燥狀態在空氣中穩定,呈水溶液時遇空氣、微量金屬、熱和光易變質。熔點:154-164℃
用 途 : 生化研究。化妝品抗氧劑。在化妝品中可消耗氧,還原高價金屬離子,把氧化還原電勢轉移到還原的范圍,并有減少產生不良的氧化產物。還可用作防腐助色劑
保 存 : RT
購物車
幫助
021-54845833/15800441009
