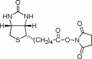
中文名稱 : N-羥基琥珀酰亞胺生物素       
	其他中文名稱 :  N-生物素羥基琥珀酰亞胺酯;(+)生物素-N-琥珀酰亞胺基酯;D-生物素-N-羥基琥珀酰亞胺酯;N-羥基丁二酰亞胺基生物素;N-羥基琥珀酰亞胺基生物素;(+)-生物素-N-羥基琥珀酰亞胺酯         
	英文名稱 : BNHS       
	其他英文名稱 :  NHS-Biotin;(+)-Biotin N-hydroxysuccinimide ester;d-Biotin NHS ester;Biotinyl-N-hydroxy-succinimide;N-Hydroxysuccinimidobiotin;N-Succinimidyl D-biotinate        
	C A S : 35013-72-0  
	C14H19N3O5S=341.38   
	級 別 : BR  
	含 量 : ~98.0% 
 
	
  
				溶解性 : DMF: ≤50 mg/mL Stable for at least one month in dry DMF ;DMSO: soluble 
			
		
	性 狀 : 白色或類白色粉末。  
	用 途 : 生化研究。
	保 存 : -20℃,保質期4年
 
	
		
 
	
	
	
 
	
購物車
幫助
021-54845833/15800441009
              