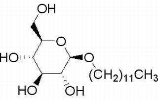
中文名稱 : 十二烷基-β-D-吡喃葡萄糖苷
其他中文名稱 : 十二烷基吡喃葡萄糖苷;十二烷基吡喃葡糖苷;正十二烷基-β-D-吡喃葡糖苷;月桂酰基葡萄糖苷
英文名稱 : Lauryl monoglucoside
其他英文名稱 : Dodecyl-beta-D-glucopyranoside
C A S : 59122-55-3
C18H36O6=348.47
級 別 : Ultra pure grade
含 量 : ≥99%
性 狀 : 白色至淺黃色結晶或結晶粉末
用 途 : 生化研究。非離子型去垢劑,用于溶解膜結合蛋白
保 存 : 2~8℃
購物車
幫助
021-54845833/15800441009
